当前位置:
飞秒激光微加工过程中的纳米颗粒收集
来源: DOI: 10.1016/j.optlastec.2025.112827 | 作者:... | 发布时间: 1天前 | 17 次浏览 | 分享到:
飞秒脉冲激光微加工是一种从表面烧蚀材料以产生所需结构的技术。该过程产生纳米颗粒,其在工业环境中被捕获在微粒空气过滤器中。这项工作的重点是在消融点回收纳米颗粒。目标是优化纳米颗粒收集器的操作设置,该纳米颗粒收集器由包含在连接到抽吸管线的管中的棒状电极组成。对于固定的激光通量,考虑了三个抽吸流速和阶段速度来确定最佳收集参数。使用铜作为初始目标,通过比较收集和烧蚀材料的质量来确定收集效率。我们发现,由于激光脉冲与膨胀的纳米颗粒羽流之间的相互作用减少,最高的级速度导致最佳的收集效率。发现中间抽吸流量是最佳的,可以平衡羽流的吸引力和有效收集。还研究了激光能量密度的影响。喷射物质的通量相关动力学导致收集效率的差异。通过比较纯金属和合金的收集,研究了靶材成分的影响。观察到收集效率对材料组成的依赖性。

导言

可持续性和循环经济考虑因素在制造过程中变得越来越重要,以提高材料利用效率并最大程度地减少相关的能源使用。从环境保护和资源节约的角度来看,减少废物和有效的材料回收是关键。减少废物和材料回收的其他好处是节省成本,遵守法规以及制定长期可持续的做法。考虑到这一点,加拿大政府在2022年发布了加拿大关键矿产战略其中列出了用于回收和重新利用工业过程废物的框架。在许多自上而下的加工过程中,少数产生了高价值的副产品。飞秒激光表面加工在工业环境中越来越重要,同时产生的纳米颗粒被认为是一种滋扰。这些纳米颗粒实际上代表了一种有价值的副产品,但它们大多被视为废物流。

高效的纳米粒子去除对于确保激光质量至关重要纹理表面并防止吸入有害物质。用于纳米颗粒去除的工业标准是高效微粒空气 (HEPA) 过滤器。这些过滤器的缺点是从它们中回收纳米颗粒是资源和能量密集的过程。如果这些纳米粒子被有效地收集和回收,它们可以被重新用于催化、生物医学、电子等应用。除了它们的许多用途之外,这些纳米颗粒还提供了一个财务机会,因为它们比各自的原材料更昂贵。此外,通常出现的挑战激光加工正在处理再沉积激光纹理化表面上的纳米颗粒。因此,有效的纳米颗粒去除方法对于确保保持所需的激光加工微结构是必要的。使用液体的收集方法和玻璃基板存在,但是,它们仅适用于少量纳米颗粒。Joy和Kietzig先前展示了一种基于对金属板施加电压的纳米颗粒收集的概念验证方法。虽然该方法被证明是成功的,但该过程并未针对收集效率进行优化,收集机制尚未完全理解,并且收集的纳米颗粒尚未被表征。

在这项工作中,引入了一种新颖的纳米颗粒收集器设计,该纳米颗粒收集器设计由插入吸引管中的偏置到高电压的杆状电极组成。在一系列操作参数上研究其性能,以确定在哪个设置下纳米颗粒收集是最佳的。使用相同的设置,将高压收集器的纳米颗粒回收率与使用在线HEPA过滤器的收集进行比较。此外,飞秒的影响激光通量并对靶材组成进行了研究。开发一种有效的收集纳米颗粒的方法可以为未来基于激光设置表征纳米颗粒的研究打开大门。这项工作的更广泛前景是开发一种在激光加工过程中回收材料的工艺,因为它最终将减少有限资源的提取。


方法

飞秒激光加工系统

使用放大的Ti: 蓝宝石固态激光系统 (Libra,Coherent Inc.,Santa Clara,CL,USA) 烧蚀样品,该系统具有高斯光束轮廓,波长为800 nm,脉冲持续时间为 ∼ 100 fs,频率为1000Hz。的激光脉冲能量使用计算机控制的衰减器调节至所需水平。使用焦距为200 mm的平凸透镜将光束聚焦到样品表面上。将样品安装到2D平移台 (newportcorporation,Irvine,CL,USA) 上,以在固定激光束下进行加工。使用馈送到台运动控制器 (XPS,Newport公司) 的位置-速度-时间 (PVT) 轨迹文件来控制台的速度和轨迹。光栅扫描轨迹用于烧蚀样品。


纳米粒子收集器

纳米颗粒收集器的主要成分是不锈钢高压棒电极(2.5毫米O.D.),不锈钢接地外管 (6.0mm i.D.X 6.5mm O.D.),以及连接到抽吸泵 (Gast制造DAA-V507-GB型) 的聚四氟乙烯 (PTFE) 接头三通。为了防止颗粒进入抽吸泵,将直列式HEPA过滤器 (mcmaster-carr管杆直列式过滤器D型) 插入收集器的下游。因此,假设任何由激光烧蚀要么被电极收集,要么丢失到周围环境中,要么被困在过滤器中。图1a) 显示了纳米粒子收集器的前视图,其中所有关键部件都被标记和图1b) 聚焦于棒状电极。图1c) 是指示收集器相对于目标材料和激光烧蚀点的位置的示意图。

图1。纳米粒子收集器a) 侧视图,主要部件标记为b) 放大电极正视图,c) 相对于目标和消融点定位。


收集器位于目标表面上方2 mm处并与目标表面平行。收集器位于消融点旁边3mm处,使电极与消融点对齐。收集器的取向也垂直于光栅扫描的方向。将3D打印的塑料分隔片插入电极和外管之间以确保电绝缘。抽吸泵管连接到t形连接器。DC电源 (fluke412b高压电源) 的带电端子连接到高压电极的后端,其接地连接到外管。电源设定为对电极施加2.0kv的电位。我们估计杆表面的电场为1.83 × 106V/m,该值显著低于所需的气体击穿电场电晕放电盗梦空间。抽吸泵流量使用在线变化流量计。使用测得的流量,以及棒电极和外管的尺寸,体积吸力气体速度是计算出来的。

一旦激光加工和收集完成,使用丙酮将纳米颗粒从收集器冲洗到消化容器中。为了确保去除所有回收的材料,将电极和外管在消化容器内超声处理10分钟超声处理浴 (布兰森1510超声波清洗机)。对于每种靶材料和纳米颗粒收集设置组,进行上述过程的三次重复。在所呈现的所有图中,误差条用于表示与平均值的一个标准偏差。

.............

结果与讨论

优化纳米颗粒收集工艺参数的确定

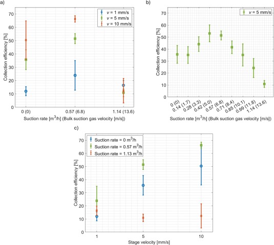
吸入流量的影响如图2a)。根据这些结果,有一个最佳的抽吸流量接近0.57米3/小时。为了确认这一发现,使用5mm/s的级速度对吸入流量进行了微调,如图所示图2b)。


吸入流量的微调确认了接近0.57 m的最佳吸入速度3/小时。当将整体吸入气体速度与预期的羽流膨胀速度 (〜10 m/s) 进行比较时,使用接近膨胀速度一半的吸入速度会导致最佳收集。该发现表明,在不执行太多抽吸的情况下,必须在朝向收集器吸引喷射的材料之间达到平衡,以使得在电极上根本不存在任何纳米颗粒积聚。在吸入流量范围的较高端,收集效率最低。这归因于吸力的增加,导致喷射的材料被吸入通过集电极并向下吸入管。在抽吸流速范围的下端,存在一些收集,然而,由于抽吸力较弱,大部分喷射的材料损失到环境中。

对这些结果采取不同的观点,阶段速度的影响显示在图2c)。结果表明,对于固定的抽吸速率,较高的阶段速度会导致较高的收集效率。然而,无论阶段速度如何,较高的吸力率都会阻碍收集,因为吸力率为1.14 m时似乎就是这种情况3/小时。增强的收集归因于入射激光脉冲与较高阶段速度下膨胀的喷射羽流之间的相互作用减少,如图所示图3。

图3。a) 高阶段速度和b) 低阶段速度的激光脉冲和喷射羽流相互作用。在c) 一个方向和d) 来回运动 (黑色箭头表示舞台运动) 中由舞台运动产生的激光剥蚀线。

.............


结论

一种由棒状电极和纳米颗粒组成的纳米颗粒收集器的新颖设计吸入管被介绍了。调整诸如激光加工阶段速度和抽吸流速的工艺参数以确定优化纳米颗粒收集的操作设置。已经确定,由于进入的激光脉冲与来自先前脉冲的膨胀喷射羽流之间的相互作用较小,因此以高阶段速度进行加工会导致最佳收集。中间的抽吸流速导致最佳的收集,因为在朝向收集器吸引喷射的材料和不执行太多的抽吸使得颗粒不积聚在电极上之间保持平衡。基于这些发现,可以调整载物台速度和抽吸速率,以优化任何激光加工系统的纳米颗粒收集。研究了不同的激光通量设置,并且已经表明,对于该收集器,较低的通量导致更有效的收集。这是由于较低注量设置的较慢的材料膨胀速度导致喷射的颗粒采取朝向收集器的更直接的路径。基于此,纳米颗粒收集器的设计应考虑一定范围的注量设置,以考虑材料喷射的注量相关动力学的影响。通过比较纯金属和合金的收集,研究了目标材料的组成。取决于存在的合金元素,以及它们各自的氧化特性,其他金属的收集可以增强,就像不锈钢304中的铁一样。对收集器的初步评估是有希望的。然而,在该方法变得工业上可行之前,需要解决诸如由于纳米颗粒粘附和收集的颗粒的长期稳定性而导致的收集器部件的替换的问题。为了推进这项工作并进一步评估收集方法,可以考虑收集的纳米颗粒的尺寸分布和晶体结构进行高级研究。


文章出自: DOI: 10.1016/j.optlastec.2025.112827

注:文章版权归原作者所有,本文内容、图片、视频仅供交流学习使用,如涉及版权等问题,请您告知,我们将及时处理!